Submersible Pumps
HY Series (HY300-HY600)
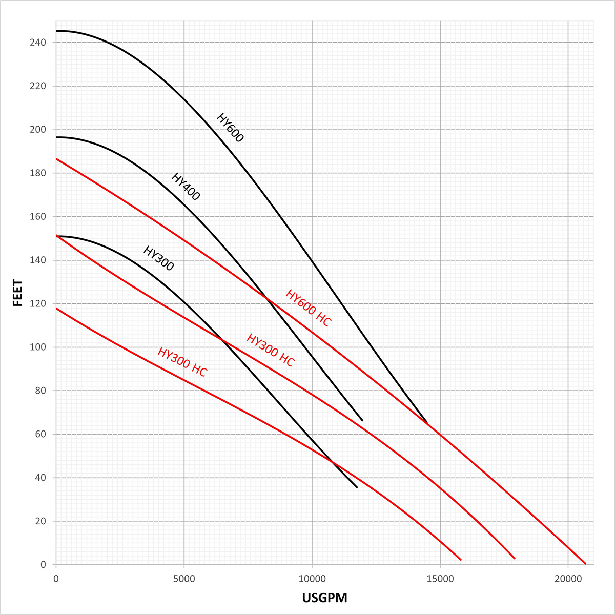
Dragflow’s large hydraulic pumps are the result of an important research activity and their large dimensions and power guarantee exceptional results for the most demanding dredging operations. Moreover, they are available in High Capacity version (HC).
| Model | Discharge | Capacity | Head | Power | RPM | Solid Handling | Weight | ||||||
|---|---|---|---|---|---|---|---|---|---|---|---|---|---|
| mm | in | m3/h | USgpm | m | ft | HP | kW | 50/60 Hz | mm | in | kg | lb | |
| HY300 | 250 | 10 | 900 | 3963 | 34 | 112 | 300 | 220 | 750 | 120 | 4,7 | 3500 | 7700 |
| HY300HC | 450 | 18 | 900 | 3963 | 34 | 112 | 300 | 220 | 750 | 120 | 4,7 | 4400 | 9700 |
| HY400 | 300 | 12 | 1020 | 4491 | 44 | 144 | 400 | 300 | 850 | 120 | 4,7 | 3680 | 8100 |
| HY400HC | 450 | 18 | 1020 | 4491 | 44 | 144 | 400 | 300 | 850 | 120 | 4,7 | 4500 | 9920 |
| HY600 | 300 | 12 | 1570 | 6912 | 57 | 187 | 630 | 475 | 950 | 120 | 4,7 | 3800 | 8400 |
| HY600HC | 450 | 18 | 2300 | 10126 | 32 | 104 | 630 | 475 | 950 | 120 | 4,7 | 4600 | 10140 |